Basic image features: Color & Edge
              
          2024. 5. 29. 16:38ㆍArtificial Intelligence/Computer Vision
Color coding method
RGB 컬러 큐브
- RGB 값이 정규화 됨.
 

Normalized RGB
| Intensity | I = (R+G+B) / 3 | 
| Normalized red | r = R/(R+G+B) | 
| Normalized green | g = G/(R+G+B) | 
| Normalized blue | b = B/(R+G+B) | 
Color hexagon for HSI (HSV)
| Hue | 각 [0,2π] | 
| Saturation | 수직축으로부터 거리 [0,1] | 
| Intensity | 수직축에서의 높이 [0,1] | 

Color Transform
RGB → HSI

HSI → RGB
- Intensity = 0 이면, Saturation은 정의되지 않음.
 - Saturation = 0 이면, Hue는 정의되지 않음.
 

RGB → YIQ

Color Histogram
- 이미지의 피처를 나타내며, 정규화한 후 비교가 가능함.
 - 공간적 정의가 필요하면 이미지를 격자로 잘라, 히스토그램을 그려도 됨.
 - H, S, I를 분리하여 히스토그램을 그릴 수 있음.
 
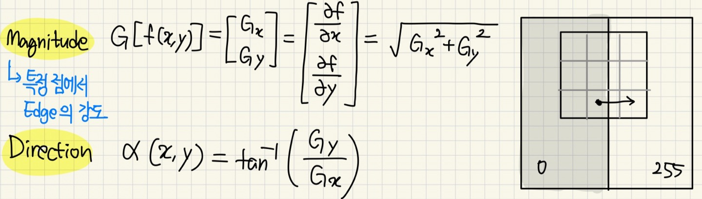
Edge
- 두 영역의 경계로서 픽셀의 Intensity Contrast가 큰 부분.
 
Differential Operators
- 입력 이미지에 Mask를 적용하여 gradient 계산 → gradient를 thresholding → edge 픽셀 선별
 - 1D Signal 미분
 

Image Gradient and Masks
이미지의 Gradient

1차, 2차 미분과 수직선, 수평선 Detection

Operators
Roberts Operator
- 대각선 방향으로 gradient를 계산함.
 - 가장 정교하고 빠름.
 

Prewitt Operator
- 중심을 정의하며, 수직과 수평을 잘 찾음.
 

Sobel Operator
- Mask의 센터에 직접적인 영향을 주는 칸에 가중치 크게 함.
 - Natural line을 잘 찾음.
 

Zero crossing Operators
- 2차 미분에서 0이 교차되는 부분은 1차 미분의 peaks보다 정확함.
 - ex) Laplacian Filter, LoG
 

Laplacian Filter
- 1D에서 1차 미분은 [-1 0 1] mask로, 2차 미분은 [1 -2 1] mask로 계산함.
 - Laplacian Filter는 2D 2차 미분을 추정함.
 

Effect of Noise
- 필터는 Noise에 강하게 반응하기 때문에, 미분하기 전에 noise를 제거하는 Smoothing 부터 해야 함.
 - 진행 순서: Smoothing → Convolution 연산 → 1차 미분 → 2차 미분
 
Laplacian of Gaussian (LoG)
- 중심에서 가까운 곳에 가중치가 큼.
 - 진행 순서: LoG operator를 사용하여 2차 미분 → Convolution 연산
 


Canny Edge Operators
- Gaussian based filter임.
 - threshold 값이 2개 있고, linking 방법을 사용함.
 - high threshold 이상인 값 (survive) / low threshold 이하인 값 (remove)
 - high threshold와 low threshold 사이 영역의 값은 high threshold에 있는 점과 연결되면 survive하고, low threshold에 있는 점과 연결되면 remove 됨.
 
* 참고 자료
컴퓨터비전 강의자료(김은이 교수님)