Orientation
2024. 6. 16. 16:47ㆍArtificial Intelligence/Computer Vision
Orientation
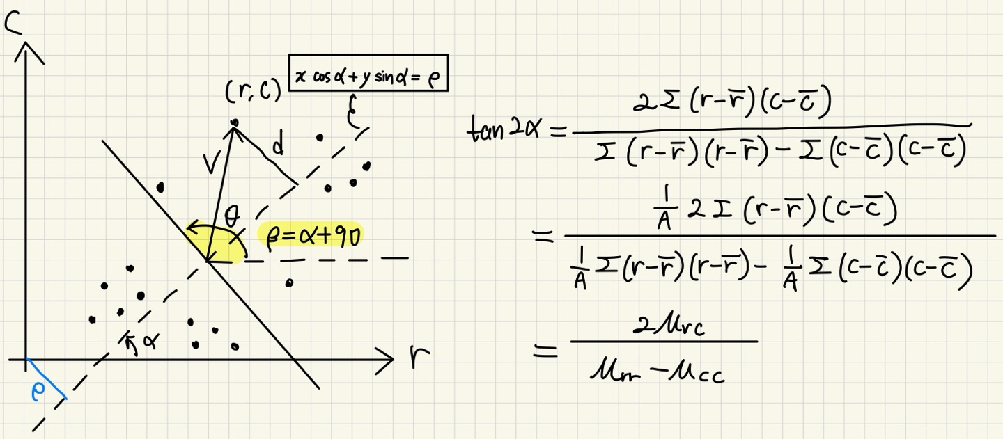
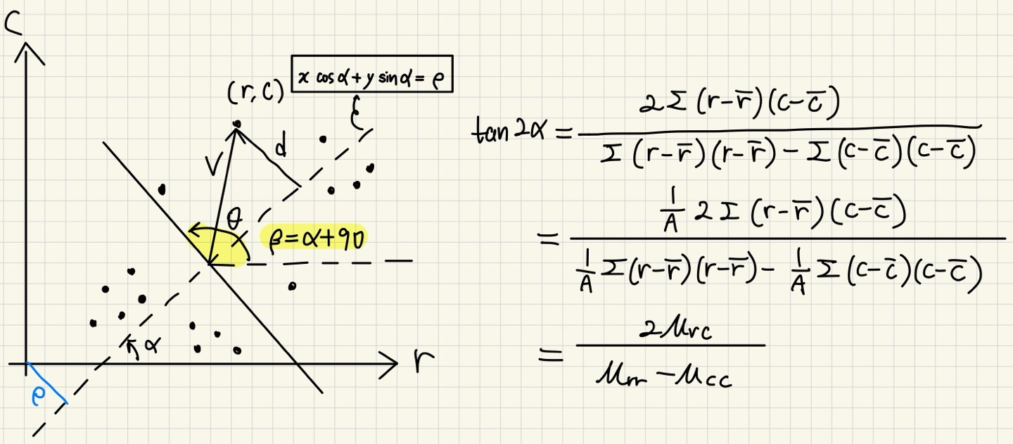
- 객체의 Orientation을 연장선의 orientation(최소 2차 모멘트의 축)으로 정의함.
- 수식에서 r은 [i, j]로부터의 수직 거리임.

Polar representation of a straight line

Axis with Least Second Moment

* 참고 자료
컴퓨터비전 강의자료(김은이 교수님)