Linear Regression
2024. 6. 16. 18:52ㆍArtificial Intelligence/Computer Vision
Linear regression with one variable
Model representation
m = 훈련 데이터 개수, x = input 변수 (features), y = output 변수 (target 변수)
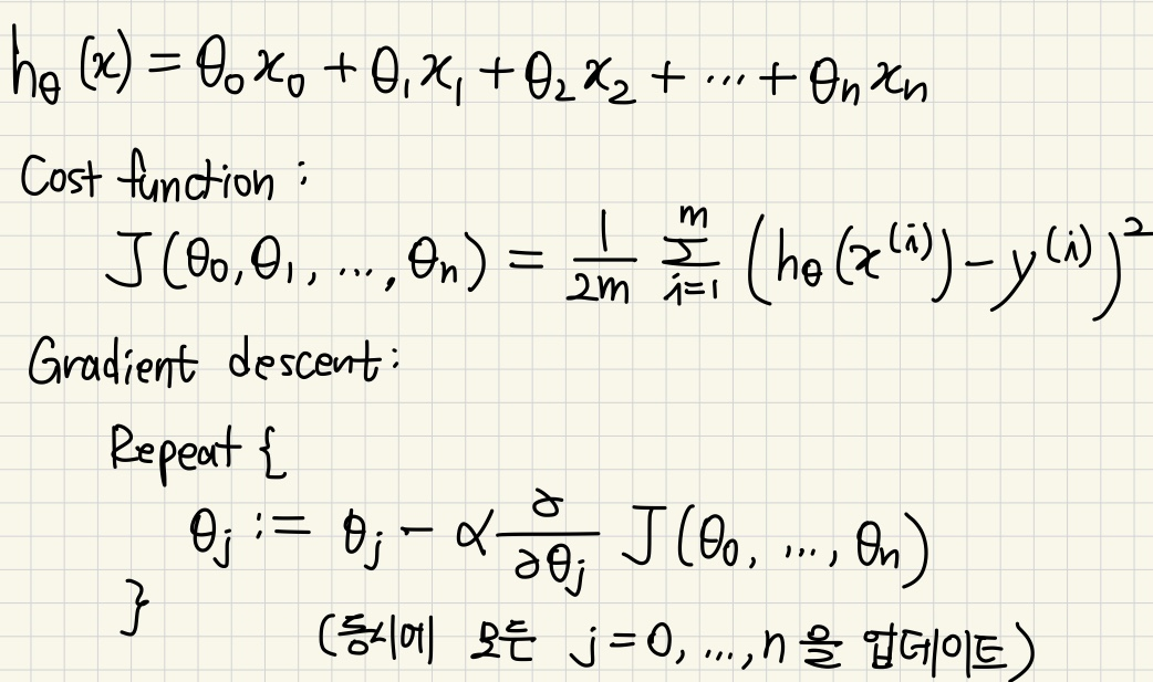
Cost function
비용 함수 J를 최소화 해야 함.


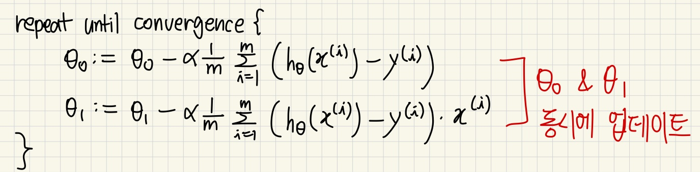
Gradient Descent
- Learning rate α가 너무 작으면, gradient descent는 느릴 수 있음.
- Learning rate α가 너무 크면, gradient descent는 최소값을 overshoot하여 수렴에 실패할 수 있음.
- Learning rate α 값만 수정해도, local minimum에 수렴하도록 할 수 있음.


Linear regression with multiple variable
Model representation
n = 피처 개수, x^(i) = i번째 training example의 input 피처, {x(j)}^(i) = i번째 training example의 j번째 피처

Feature scaling
Features가 비슷한 scale에 존재하도록 하는 것.
ex) x1 = size of house (0-2000 feet^2) & x2 = number of bedrooms (1-5)
→ x1 = size of house / 2000 & x2 = number of bedrooms / 5
Normal equation
- 분석적으로 local minimum으로 수렴할 때의 θ 값을 찾아냄.

- m = 4일 때, normal equation 계산 예시. 계산한 θ 값을 넣으면 J(θ)는 최소가 됨.

Gradient descent와 Normal Equation 비교
| Gradient Descent | Normal Equation |
| α를 선택해야 함. 많은 iteration이 필요함. n의 값이 커도 잘 동작함. |
α를 선택하지 않아도 됨. iteration을 하지 않음. (X^(T) X)^(-1)을 계산해야 함. n이 매우 크면 느림. |
Pseudo inverse가 존재하지 않는 경우
- (X^(T) X)는 대부분의 경우 Pseudo inverse가 존재하나, Column vector끼리 선형적으로 dependent 하면 역행렬이 존재하지 않음. X2 벡터만 가지고도 X1 벡터를 뽑아낼 수 있는 경우에 dependent 함.
- 너무 많은 피처가 존재하는 경우 역행렬이 존재하지 않음. 이 경우에는 피처를 몇 개 지우거나, 정규화를 함.
* 참고 자료
컴퓨터비전 강의자료(김은이 교수님)