Logistic Regression
2024. 6. 16. 23:53ㆍArtificial Intelligence/Computer Vision
Logistic Regression Model
- Hypothesis model이 0과 1 사이의 값을 출력하도록 만듬.

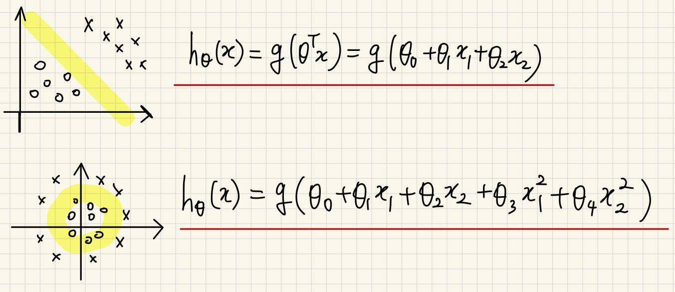
Decision Boundary
- Linear Decision Boundary & Non-linear Decision Boundary

Logistic Regression Cost function

Gradient Descent

Multiclass Classification
- Logistic regression classifier를 train할 때, 각각의 클래스에 대해 가설을 생성함.
- 예측을 위해, 가설 값을 최대화하는 클래스 i를 선택함.
* 참고 자료
컴퓨터비전 강의자료(김은이 교수님)